Welcome to the Onshape forum! Ask questions and join in the discussions about everything Onshape.
First time visiting? Here are some places to start:- Looking for a certain topic? Check out the categories filter or use Search (upper right).
- Need support? Ask a question to our Community Support category.
- Please submit support tickets for bugs but you can request improvements in the Product Feedback category.
- Be respectful, on topic and if you see a problem, Flag it.
If you would like to contact our Community Manager personally, feel free to send a private message or an email.
Simulating Rotating Bodies ( part distortion as rotational velocity increases)
jay_dee813
Member Posts: 2 ✭
Hi, not new to onshape but I am new to onshape's simulation tool. I'm trying to model how this spindle expands under increased rpm's. The spindle is one part with the 2nd blue part serving as the fixed part in the assembly. I've gone through the tutorial's but I don't see anything that would help me setup a simulation like this. I've labeled the axis of rotation as a construction line.
(please note the screenshot was taken in the part studio but of course simulation takes place in assembly)

Comments
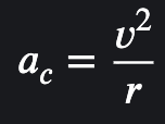
Onshape Simulation isn't really set up for this (yet). That said, you could get an idea of stresses by applying a linear acceleration. Maybe divide the assembly into sections and apply radial accelerations to each section.
@jay_dee813 @Matt_Shields Devs must have seen this thread and pushed out the feature this month. https://forum.onshape.com/discussion/29345/improvements-to-onshape-november-21-2025#latest
Derek Van Allen | Engineering Consultant | MeddlerHow about that 😉